Month / diciembre 2022
Averigua cuánto vale x e y

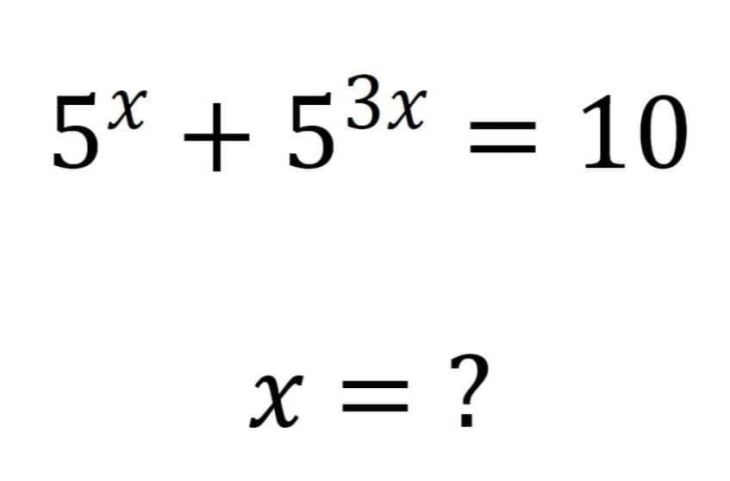
Resuelve otra ecuación exponencial

La chica nadadora en el río

Halla el perímetro de la figura (cotas en cm)

Resuelve dando el valor exacto

Resolver sin calculadora en menos de un minuto (y sin hacer 79^2 ni 78^2)

Solución al problema de la «construcción del número áureo»
Solución a «un problemilla para resolver»
Halla la potencia del siguiente complejo en forma binómica

Distancia de frenado

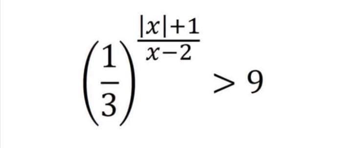
Resuelve la siguiente inecuación exponencial

Solución al problema del volumen máximo del cono cuya generatriz es dada
Solución al problema de los caramelos de Leo
Ni Rock ni Bacalao

El ciclista escapado

Debe estar conectado para enviar un comentario.