Ir directamente al contenido
  • Ver menú
  • View sidebar

profe.mates.jac

Blog personal sobre Matemáticas

  • Inicio
  • Problemillas y Acertijos
  • SOLUCIONES
  • 1ºESO
  • 2ºESO
  • 3ºESO
  • 4ºESO
  • 1ºBachillerato Ciencias
  • 1ºBach. CCSS
  • 2ºBachillerato Ciencias
  • 2ºBachillerato CC.SS
  • Edades de los cursos de la ESO y Bachillerato
  • Enlaces interesantes
  • Acerca de

Estadísticas del sitio

  • 79.993 hits

Categorías

Archivos

Calendario

agosto 2021
L M X J V S D
 1
2345678
9101112131415
16171819202122
23242526272829
3031  
« Jul   Sep »

Entradas y Páginas Populares

  • Solución al problemilla de cuántos nueves hay del 0 al 1000
  • Solución a "Dobleces en una hoja de papel"
  • Calcula el área total y el volumen del tronco de cono
  • Volumen máximo del cono de generatriz conocida
  • Solución a "Calcula el área de la zona rayada y el área y el perímetro de ABC"
  • Solución a "Canal de sección un trapecio isósceles"
  • Enlaces interesantes
  • Aprendiendo Física con Berto Tomás (problemas de Física, Química y Matemáticas)

Entradas recientes

  • Averigua el área del triángulo rectángulo
  • Calcular el área de otra región magenta
  • La conjetura de Collatz – el misterio matemático que nadie ha podido demostrar ni refutar
  • Área de la zona amarilla
  • Valor del ángulo «x» y resolver los triángulos
  • ¿Cuánto pesa esta fruta?
  • Resuelve el siguiente sistema no lineal
  • El área azul mide
  • Calcula esa potencia de 3
  • Explorando la Ciencia con Hedy Lamarr

Comentarios recientes

Avatar de Efrain Cesar Rojo RosalesEfrain Cesar Rojo Ro… en Resolver «x elevado a x igual…
Avatar de profe.mates.jacJosé Antonio Cobalea… en Solución al problema del cuadr…
Avatar de NoNo en Solución al problema del cuadr…
Avatar de profe.mates.jacJosé Antonio Cobalea… en Averigua cuánto vale x e …
Avatar de ManuelManuel en Averigua cuánto vale x e …

Introduce tu correo electrónico para suscribirte a este blog y recibir avisos de nuevas entradas.

Únete a otros 32 suscriptores

Enlaces RSS

  • RSS - Entradas
  • RSS - Comentarios

Day / 22/08/2021

22/08/2021 by profe.mates.jac

Solución al problema de los 5 cuadrados

  • 1ºBach. CCSS, 1ºBachillerato Ciencias, 4ºESO, Problemillas y Acertijos, SOLUCIONES
  • Deja un comentario

Haz clic en: Solución al problema de los 5 cuadrados

Compártelo:

  • Compartir en X (Se abre en una ventana nueva) X
  • Comparte en Facebook (Se abre en una ventana nueva) Facebook
Me gusta Cargando...
22/08/2021 by profe.mates.jac

Solución al problema de qué perímetro es mayor

  • 1ºBach. CCSS, 1ºBachillerato Ciencias, 3ºESO, 4ºESO, Problemillas y Acertijos, SOLUCIONES
  • Deja un comentario

Haz clic en: Solución al problema de qué perímetro es mayor

Compártelo:

  • Compartir en X (Se abre en una ventana nueva) X
  • Comparte en Facebook (Se abre en una ventana nueva) Facebook
Me gusta Cargando...
22/08/2021 by profe.mates.jac

Solución al problema del perímetro del cuadrado

  • 2ºESO, 3ºESO, Problemillas y Acertijos, SOLUCIONES
  • Deja un comentario

 

Haz clic en la solución: Solución al problema de perímetro del cuadrado

Compártelo:

  • Compartir en X (Se abre en una ventana nueva) X
  • Comparte en Facebook (Se abre en una ventana nueva) Facebook
Me gusta Cargando...
22/08/2021 by profe.mates.jac

La herencia

  • 1ºBach. CCSS, 1ºBachillerato Ciencias, Problemillas y Acertijos
  • Deja un comentario

 

Compártelo:

  • Compartir en X (Se abre en una ventana nueva) X
  • Comparte en Facebook (Se abre en una ventana nueva) Facebook
Me gusta Cargando...
22/08/2021 by profe.mates.jac

Tipos de ángulos

  • 1ºESO, 2ºESO, General
  • Deja un comentario

Compártelo:

  • Compartir en X (Se abre en una ventana nueva) X
  • Comparte en Facebook (Se abre en una ventana nueva) Facebook
Me gusta Cargando...
22/08/2021 by profe.mates.jac

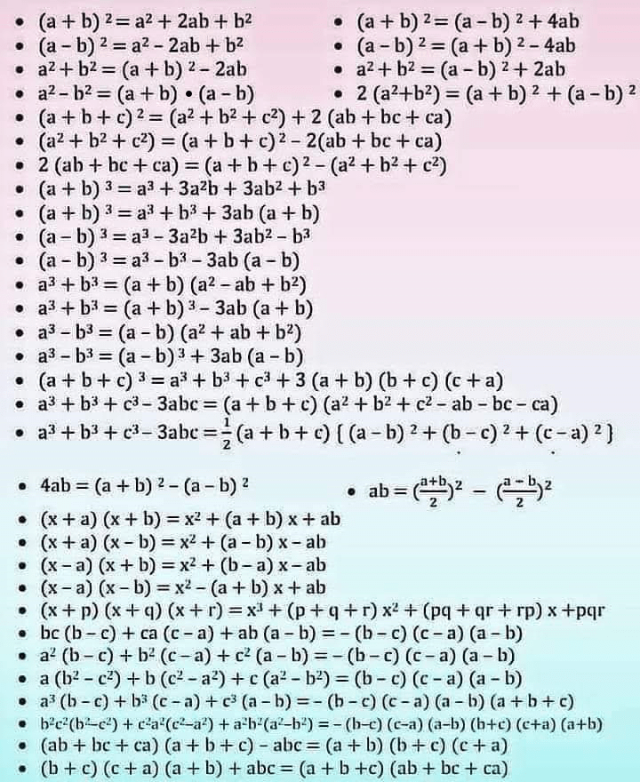
Algunas identidades notables

  • Imagen
  • 1ºBach. CCSS, 1ºBachillerato Ciencias, 2ºBachillerato Ciencias, 4ºESO, General
  • Deja un comentario

Compártelo:

  • Compartir en X (Se abre en una ventana nueva) X
  • Comparte en Facebook (Se abre en una ventana nueva) Facebook
Me gusta Cargando...
22/08/2021 by profe.mates.jac

El depósito (3º y 4º ESO)

  • 3ºESO, 4ºESO, Problemillas y Acertijos
  • Deja un comentario

 

Compártelo:

  • Compartir en X (Se abre en una ventana nueva) X
  • Comparte en Facebook (Se abre en una ventana nueva) Facebook
Me gusta Cargando...
Web construida con WordPress.com.
  • Suscribirse Suscrito
    • profe.mates.jac
    • Únete a otros 32 suscriptores
    • ¿Ya tienes una cuenta de WordPress.com? Inicia sesión.
    • profe.mates.jac
    • Suscribirse Suscrito
    • Regístrate
    • Iniciar sesión
    • Denunciar este contenido
    • Ver el sitio en el Lector
    • Gestionar las suscripciones
    • Contraer esta barra
 

Cargando comentarios...
 

Debe estar conectado para enviar un comentario.

    %d