
Haz clic en: Solución al problema de “Tres barcos pesqueros (problema para 4ºESO)”

Haz clic en la solución: Solución al problema de uno de máximos y mínimos para 2ºBach

Haz clic en: Solución al problema de find the value of angle x

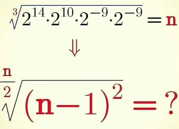
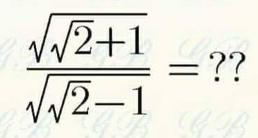
Haz clic en: Solución al problema de Valor de la expresión





Debe estar conectado para enviar un comentario.