Ir directamente al contenido
  • Ver menú
  • View sidebar

profe.mates.jac

Blog personal sobre Matemáticas

  • Inicio
  • Problemillas y Acertijos
  • SOLUCIONES
  • 1ºESO
  • 2ºESO
  • 3ºESO
  • 4ºESO
  • 1ºBachillerato Ciencias
  • 1ºBach. CCSS
  • 2ºBachillerato Ciencias
  • 2ºBachillerato CC.SS
  • Edades de los cursos de la ESO y Bachillerato
  • Enlaces interesantes
  • Acerca de

Estadísticas del sitio

  • 79.993 hits

Categorías

Archivos

Calendario

noviembre 2024
L M X J V S D
 123
45678910
11121314151617
18192021222324
252627282930  
« Oct   Dic »

Entradas y Páginas Populares

  • Solución al problemilla de cuántos nueves hay del 0 al 1000
  • Solución a "Dobleces en una hoja de papel"
  • Calcula el área total y el volumen del tronco de cono
  • Volumen máximo del cono de generatriz conocida
  • Solución a "Calcula el área de la zona rayada y el área y el perímetro de ABC"
  • Solución a "Canal de sección un trapecio isósceles"
  • Enlaces interesantes
  • Aprendiendo Física con Berto Tomás (problemas de Física, Química y Matemáticas)

Entradas recientes

  • Averigua el área del triángulo rectángulo
  • Calcular el área de otra región magenta
  • La conjetura de Collatz – el misterio matemático que nadie ha podido demostrar ni refutar
  • Área de la zona amarilla
  • Valor del ángulo «x» y resolver los triángulos
  • ¿Cuánto pesa esta fruta?
  • Resuelve el siguiente sistema no lineal
  • El área azul mide
  • Calcula esa potencia de 3
  • Explorando la Ciencia con Hedy Lamarr

Comentarios recientes

Avatar de Efrain Cesar Rojo RosalesEfrain Cesar Rojo Ro… en Resolver «x elevado a x igual…
Avatar de profe.mates.jacJosé Antonio Cobalea… en Solución al problema del cuadr…
Avatar de NoNo en Solución al problema del cuadr…
Avatar de profe.mates.jacJosé Antonio Cobalea… en Averigua cuánto vale x e …
Avatar de ManuelManuel en Averigua cuánto vale x e …

Introduce tu correo electrónico para suscribirte a este blog y recibir avisos de nuevas entradas.

Únete a otros 32 suscriptores

Enlaces RSS

  • RSS - Entradas
  • RSS - Comentarios

Month / noviembre 2024

30/11/202420/01/2026 by profe.mates.jac

Solución a «Calcula el módulo de z al cuadrado»

  • 1ºBachillerato Ciencias, Problemillas y Acertijos, SOLUCIONES
  • Trigonometría
  • Deja un comentario
Solución al problema de “Calcula el módulo de z al cuadrado”_protegidaDescarga

Compártelo:

  • Compartir en X (Se abre en una ventana nueva) X
  • Comparte en Facebook (Se abre en una ventana nueva) Facebook
Me gusta Cargando...
29/11/202429/11/2024 by profe.mates.jac

Find area of the red region

  • Imagen
  • 3ºESO Académicas, 4ºESO, 4ºESO Académicas, Problemillas y Acertijos
  • Geometría
  • Deja un comentario

Compártelo:

  • Compartir en X (Se abre en una ventana nueva) X
  • Comparte en Facebook (Se abre en una ventana nueva) Facebook
Me gusta Cargando...
29/11/2024 by profe.mates.jac

Calcula el valor que se pide

  • Imagen
  • 1ºBachillerato Ciencias, Problemillas y Acertijos
  • Trigonometría
  • Deja un comentario

Compártelo:

  • Compartir en X (Se abre en una ventana nueva) X
  • Comparte en Facebook (Se abre en una ventana nueva) Facebook
Me gusta Cargando...
28/11/202420/01/2026 by profe.mates.jac

Solución a «Área de la región sombreada del triángulo»

  • 3ºESO, 3ºESO Académicas, Problemillas y Acertijos, SOLUCIONES
  • Geometría
  • Deja un comentario
Solución al problema de “Área de la región sombreada del triángulo”_protegidaDescarga

Compártelo:

  • Compartir en X (Se abre en una ventana nueva) X
  • Comparte en Facebook (Se abre en una ventana nueva) Facebook
Me gusta Cargando...
27/11/202420/01/2026 by profe.mates.jac

Solución a ¿Qué hay más: hombres o mujeres? (indica la proporción)

  • 3ºESO, 3ºESO Académicas, Problemillas y Acertijos, SOLUCIONES
  • Estadística
  • Deja un comentario
Solución al problema de Qué hay más_ hombres o mujeres (indica la proporción)_protegidaDescarga

Compártelo:

  • Compartir en X (Se abre en una ventana nueva) X
  • Comparte en Facebook (Se abre en una ventana nueva) Facebook
Me gusta Cargando...
26/11/202420/01/2026 by profe.mates.jac

Solución a ¿Cuántas caben esperar?

  • 4ºESO, 4ºESO Académicas, Problemillas y Acertijos, SOLUCIONES
  • Estadística, Probabilidad
  • Deja un comentario
Solución al problema de Cuántas caben esperar_protegidaDescarga

Compártelo:

  • Compartir en X (Se abre en una ventana nueva) X
  • Comparte en Facebook (Se abre en una ventana nueva) Facebook
Me gusta Cargando...
25/11/2024 by profe.mates.jac

Área de la región sombreada del triángulo

  • Imagen
  • 3ºESO, 3ºESO Académicas, Problemillas y Acertijos
  • Geometría
  • Deja un comentario

Compártelo:

  • Compartir en X (Se abre en una ventana nueva) X
  • Comparte en Facebook (Se abre en una ventana nueva) Facebook
Me gusta Cargando...
24/11/202420/01/2026 by profe.mates.jac

Solución a «Moneda y dado»

  • 4ºESO, 4ºESO Académicas, Problemillas y Acertijos, SOLUCIONES
  • Probabilidad
  • Deja un comentario
Solución al problema de “Moneda y dado”_protegidaDescarga

Compártelo:

  • Compartir en X (Se abre en una ventana nueva) X
  • Comparte en Facebook (Se abre en una ventana nueva) Facebook
Me gusta Cargando...
23/11/202424/11/2024 by profe.mates.jac

¿Qué hay más: hombres o mujeres? (indica la proporción)

  • Imagen
  • 3ºESO, 3ºESO Académicas, Problemillas y Acertijos
  • Estadística
  • Deja un comentario

Compártelo:

  • Compartir en X (Se abre en una ventana nueva) X
  • Comparte en Facebook (Se abre en una ventana nueva) Facebook
Me gusta Cargando...
22/11/202422/11/2024 by profe.mates.jac

¿Cuántas caben esperar?

  • Imagen
  • 4ºESO, 4ºESO Académicas, Problemillas y Acertijos
  • Probabilidad
  • Deja un comentario

Compártelo:

  • Compartir en X (Se abre en una ventana nueva) X
  • Comparte en Facebook (Se abre en una ventana nueva) Facebook
Me gusta Cargando...
22/11/202423/11/2024 by profe.mates.jac

Find the area of the shaded region (with the definite integral)

  • Imagen
  • 2ºBachillerato Ciencias, Problemillas y Acertijos
  • Análisis
  • Deja un comentario

Compártelo:

  • Compartir en X (Se abre en una ventana nueva) X
  • Comparte en Facebook (Se abre en una ventana nueva) Facebook
Me gusta Cargando...
22/11/202422/11/2024 by profe.mates.jac

Calcula el módulo de z al cuadrado

  • Imagen
  • 1ºBachillerato Ciencias, Problemillas y Acertijos
  • Álgebra, Trigonometría
  • Deja un comentario

Compártelo:

  • Compartir en X (Se abre en una ventana nueva) X
  • Comparte en Facebook (Se abre en una ventana nueva) Facebook
Me gusta Cargando...
22/11/2024 by profe.mates.jac

Moneda y dado

  • Imagen
  • 4ºESO, 4ºESO Académicas, Problemillas y Acertijos
  • Probabilidad
  • Deja un comentario

Compártelo:

  • Compartir en X (Se abre en una ventana nueva) X
  • Comparte en Facebook (Se abre en una ventana nueva) Facebook
Me gusta Cargando...
21/11/202420/01/2026 by profe.mates.jac

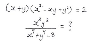
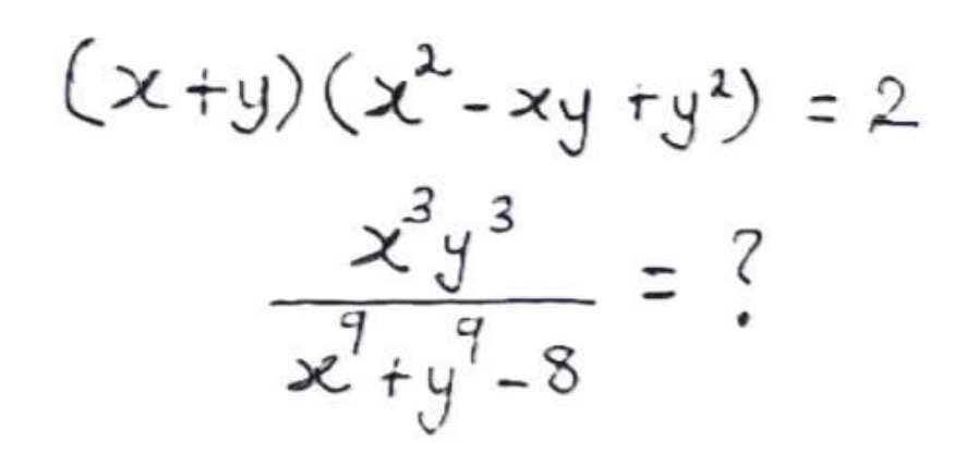
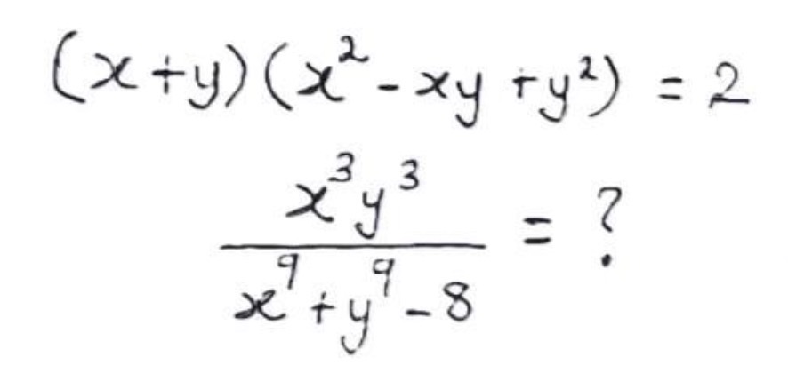
Solución a «Averigua cuánto da el cociente siguiente»

  • 1ºBachillerato Ciencias, 2ºBachillerato Ciencias, Problemillas y Acertijos, SOLUCIONES
  • Deja un comentario
Solución al problema de “Averigua cuánto da el cociente siguiente”_protegidaDescarga

Compártelo:

  • Compartir en X (Se abre en una ventana nueva) X
  • Comparte en Facebook (Se abre en una ventana nueva) Facebook
Me gusta Cargando...
20/11/202420/01/2026 by profe.mates.jac

Solución a «¿Entre qué valores está A?»

  • 1ºBachillerato Ciencias, Problemillas y Acertijos, SOLUCIONES
  • Trigonometría
  • Deja un comentario
Solución al problema de Entre qué valores está A_protegidaDescarga

Compártelo:

  • Compartir en X (Se abre en una ventana nueva) X
  • Comparte en Facebook (Se abre en una ventana nueva) Facebook
Me gusta Cargando...
19/11/202420/01/2026 by profe.mates.jac

Solución a «El jugador de ajedrez»

  • 1ºBach. CCSS, 1ºBachillerato Ciencias, 4ºESO, 4ºESO Académicas, Problemillas y Acertijos, SOLUCIONES
  • Álgebra
  • Deja un comentario
Solución al problema de “El jugador de ajedrez”_protegidaDescarga

Compártelo:

  • Compartir en X (Se abre en una ventana nueva) X
  • Comparte en Facebook (Se abre en una ventana nueva) Facebook
Me gusta Cargando...

Navegación de entradas

Older posts
Web construida con WordPress.com.
profe.mates.jac
Web construida con WordPress.com.
  • Suscribirse Suscrito
    • profe.mates.jac
    • Únete a otros 32 suscriptores
    • ¿Ya tienes una cuenta de WordPress.com? Inicia sesión.
    • profe.mates.jac
    • Suscribirse Suscrito
    • Regístrate
    • Iniciar sesión
    • Denunciar este contenido
    • Ver el sitio en el Lector
    • Gestionar las suscripciones
    • Contraer esta barra
 

Cargando comentarios...
 

Debe estar conectado para enviar un comentario.

    %d