Ir directamente al contenido
  • Ver menú
  • View sidebar

profe.mates.jac

Blog personal sobre Matemáticas

  • Inicio
  • Problemillas y Acertijos
  • SOLUCIONES
  • 1ºESO
  • 2ºESO
  • 3ºESO
  • 4ºESO
  • 1ºBachillerato Ciencias
  • 1ºBach. CCSS
  • 2ºBachillerato Ciencias
  • 2ºBachillerato CC.SS
  • Edades de los cursos de la ESO y Bachillerato
  • Enlaces interesantes
  • Acerca de

Estadísticas del sitio

  • 79.993 hits

Categorías

Archivos

Calendario

enero 2025
L M X J V S D
 12345
6789101112
13141516171819
20212223242526
2728293031  
« Dic   Feb »

Entradas y Páginas Populares

  • Solución a "Dobleces en una hoja de papel"
  • Solución al problemilla de cuántos nueves hay del 0 al 1000
  • Enlaces interesantes
  • Aprendiendo Física con Berto Tomás (problemas de Física, Química y Matemáticas)

Entradas recientes

  • Averigua el área del triángulo rectángulo
  • Calcular el área de otra región magenta
  • La conjetura de Collatz – el misterio matemático que nadie ha podido demostrar ni refutar
  • Área de la zona amarilla
  • Valor del ángulo «x» y resolver los triángulos
  • ¿Cuánto pesa esta fruta?
  • Resuelve el siguiente sistema no lineal
  • El área azul mide
  • Calcula esa potencia de 3
  • Explorando la Ciencia con Hedy Lamarr

Comentarios recientes

Avatar de Efrain Cesar Rojo RosalesEfrain Cesar Rojo Ro… en Resolver «x elevado a x igual…
Avatar de profe.mates.jacJosé Antonio Cobalea… en Solución al problema del cuadr…
Avatar de NoNo en Solución al problema del cuadr…
Avatar de profe.mates.jacJosé Antonio Cobalea… en Averigua cuánto vale x e …
Avatar de ManuelManuel en Averigua cuánto vale x e …

Introduce tu correo electrónico para suscribirte a este blog y recibir avisos de nuevas entradas.

Únete a otros 32 suscriptores

Enlaces RSS

  • RSS - Entradas
  • RSS - Comentarios

Month / enero 2025

10/01/202505/01/2025 by profe.mates.jac

Solución a «Calcule el área del triángulo ABR»

  • 1ºBachillerato Ciencias, 4ºESO, 4ºESO Académicas, Problemillas y Acertijos, SOLUCIONES
  • Geometría
  • Deja un comentario
Solución al problema de “Calcule el área del triángulo ABR”Descarga

Compártelo:

  • Compartir en X (Se abre en una ventana nueva) X
  • Comparte en Facebook (Se abre en una ventana nueva) Facebook
Me gusta Cargando...
09/01/202505/01/2025 by profe.mates.jac

Solución a «Encontrar en forma binómica»

  • 1ºBachillerato Ciencias, Problemillas y Acertijos, SOLUCIONES
  • Álgebra
  • Deja un comentario
Solución al problema de “Encontrar en forma binómica”Descarga

Compártelo:

  • Compartir en X (Se abre en una ventana nueva) X
  • Comparte en Facebook (Se abre en una ventana nueva) Facebook
Me gusta Cargando...
08/01/202505/01/2025 by profe.mates.jac

Solución a «Resultado de ese cociente en ese triángulo»

  • 4ºESO, 4ºESO Académicas, Problemillas y Acertijos, SOLUCIONES
  • Geometría
  • Deja un comentario
Solución al problema de “Resultado de ese cociente en ese triángulo”Descarga

Compártelo:

  • Compartir en X (Se abre en una ventana nueva) X
  • Comparte en Facebook (Se abre en una ventana nueva) Facebook
Me gusta Cargando...
08/01/202503/01/2025 by profe.mates.jac

Solución a «Calcula la suma de todas las cifras del entero N»

  • 1ºBachillerato Ciencias, Problemillas y Acertijos, SOLUCIONES
  • Aritmética
  • Deja un comentario
Solución al problema de “Calcula la suma de todas las cifras del entero N”Descarga

Compártelo:

  • Compartir en X (Se abre en una ventana nueva) X
  • Comparte en Facebook (Se abre en una ventana nueva) Facebook
Me gusta Cargando...
07/01/202530/09/2025 by profe.mates.jac

Calendario científico-escolar 2025

  • Curiosidades, General
  • Deja un comentario

https://bit.ly/3BNQVqb

es Propuesta de actividadesDescarga

es Formato accesibleDescarga

Compártelo:

  • Compartir en X (Se abre en una ventana nueva) X
  • Comparte en Facebook (Se abre en una ventana nueva) Facebook
Me gusta Cargando...
07/01/202508/01/2025 by profe.mates.jac

Área máxima entre todos los rectángulos

  • Imagen
  • 1ºBachillerato Ciencias, 2ºBachillerato Ciencias, Problemillas y Acertijos
  • Análisis
  • Deja un comentario

Compártelo:

  • Compartir en X (Se abre en una ventana nueva) X
  • Comparte en Facebook (Se abre en una ventana nueva) Facebook
Me gusta Cargando...
07/01/202506/01/2025 by profe.mates.jac

El mínimo coste

  • Imagen
  • 2ºBachillerato Ciencias, Problemillas y Acertijos
  • Análisis
  • Deja un comentario

Compártelo:

  • Compartir en X (Se abre en una ventana nueva) X
  • Comparte en Facebook (Se abre en una ventana nueva) Facebook
Me gusta Cargando...
07/01/202506/01/2025 by profe.mates.jac

Dosis diaria de Integralina

  • Imagen
  • 2ºBachillerato Ciencias, Problemillas y Acertijos
  • Análisis
  • Deja un comentario

Compártelo:

  • Compartir en X (Se abre en una ventana nueva) X
  • Comparte en Facebook (Se abre en una ventana nueva) Facebook
Me gusta Cargando...
07/01/202502/01/2025 by profe.mates.jac

Solución a «Calcula en función de «a»

  • 4ºESO, 4ºESO Académicas, Problemillas y Acertijos, SOLUCIONES
  • Álgebra
  • Deja un comentario
Solución al problema de “Calcula en función de “a”Descarga

Compártelo:

  • Compartir en X (Se abre en una ventana nueva) X
  • Comparte en Facebook (Se abre en una ventana nueva) Facebook
Me gusta Cargando...
07/01/202506/01/2025 by profe.mates.jac

Fuerza electromotriz de una bobina

  • Imagen
  • 1ºBachillerato Ciencias, FÍSICA, Problemillas y Acertijos
  • Deja un comentario

Compártelo:

  • Compartir en X (Se abre en una ventana nueva) X
  • Comparte en Facebook (Se abre en una ventana nueva) Facebook
Me gusta Cargando...
06/01/2025 by profe.mates.jac

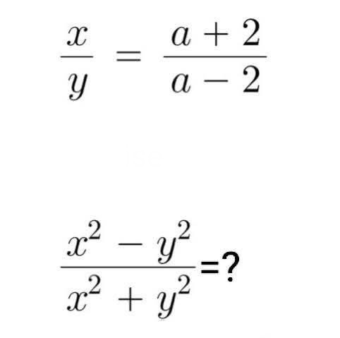
Feliz resultado a tod@s

  • Imagen
  • 1ºBachillerato Ciencias, Problemillas y Acertijos
  • Álgebra
  • Deja un comentario

Compártelo:

  • Compartir en X (Se abre en una ventana nueva) X
  • Comparte en Facebook (Se abre en una ventana nueva) Facebook
Me gusta Cargando...
06/01/202502/01/2025 by profe.mates.jac

Solución a «To start the year motivated»

  • 3ºESO, 3ºESO Académicas, Problemillas y Acertijos, SOLUCIONES
  • Álgebra
  • Deja un comentario
Solución al problema de “To start the year motivated”Descarga

Compártelo:

  • Compartir en X (Se abre en una ventana nueva) X
  • Comparte en Facebook (Se abre en una ventana nueva) Facebook
Me gusta Cargando...
05/01/2025 by profe.mates.jac

Calcula x en el triángulo DEB

  • Imagen
  • 1ºBachillerato Ciencias, Problemillas y Acertijos
  • Trigonometría
  • Deja un comentario

Compártelo:

  • Compartir en X (Se abre en una ventana nueva) X
  • Comparte en Facebook (Se abre en una ventana nueva) Facebook
Me gusta Cargando...
05/01/202504/01/2025 by profe.mates.jac

Calcule el área del triángulo ABR

  • Imagen
  • 1ºBachillerato Ciencias, 4ºESO, 4ºESO Académicas, Problemillas y Acertijos
  • Geometría
  • Deja un comentario

Compártelo:

  • Compartir en X (Se abre en una ventana nueva) X
  • Comparte en Facebook (Se abre en una ventana nueva) Facebook
Me gusta Cargando...
05/01/202504/01/2025 by profe.mates.jac

Encontrar en forma binómica

  • Imagen
  • 1ºBachillerato Ciencias, Problemillas y Acertijos
  • Álgebra
  • Deja un comentario

Compártelo:

  • Compartir en X (Se abre en una ventana nueva) X
  • Comparte en Facebook (Se abre en una ventana nueva) Facebook
Me gusta Cargando...
05/01/202528/12/2024 by profe.mates.jac

Solución a «Cuánto suman ambos números»

  • 4ºESO, 4ºESO Académicas, Problemillas y Acertijos, SOLUCIONES
  • Álgebra
  • Deja un comentario
Solución al problema de “Cuánto suman ambos números”Descarga

Compártelo:

  • Compartir en X (Se abre en una ventana nueva) X
  • Comparte en Facebook (Se abre en una ventana nueva) Facebook
Me gusta Cargando...

Navegación de entradas

Older posts
Newer posts
Web construida con WordPress.com.
profe.mates.jac
Web construida con WordPress.com.
  • Suscribirse Suscrito
    • profe.mates.jac
    • Únete a otros 32 suscriptores
    • ¿Ya tienes una cuenta de WordPress.com? Inicia sesión.
    • profe.mates.jac
    • Suscribirse Suscrito
    • Regístrate
    • Iniciar sesión
    • Denunciar este contenido
    • Ver el sitio en el Lector
    • Gestionar las suscripciones
    • Contraer esta barra
 

Cargando comentarios...
 

Debe estar conectado para enviar un comentario.

    %d